Everything you need to know about Ctan Package Memorygraphs. Explore our curated collection and insights below.

Premium professional Landscape arts designed for discerning users. Every image in our Full HD collection meets strict quality standards. We believe your screen deserves the best, which is why we only feature top-tier content. Browse by category, color, style, or mood to find exactly what matches your vision. Unlimited downloads at your fingertips.

Premium City Picture Gallery - HD

Your search for the perfect Vintage texture ends here. Our Desktop gallery offers an unmatched selection of stunning designs suitable for every context. From professional workspaces to personal devices, find images that resonate with your style. Easy downloads, no registration needed, completely free access.

Ctan Package Memorygraphs - Premium City Picture Gallery - HD
CTAN: Package strands

Dark Image Collection - 8K Quality

Get access to beautiful City picture collections. High-quality Desktop downloads available instantly. Our platform offers an extensive library of professional-grade images suitable for both personal and commercial use. Experience the difference with our beautiful designs that stand out from the crowd. Updated daily with fresh content.

Ctan Package Memorygraphs - Dark Image Collection - 8K Quality
CTAN: Package listings

Mountain Art Collection - 4K Quality

Unlock endless possibilities with our artistic Space image collection. Featuring Desktop resolution and stunning visual compositions. Our intuitive interface makes it easy to search, preview, and download your favorite images. Whether you need one {subject} or a hundred, we make the process simple and enjoyable.

Ctan Package Memorygraphs - Mountain Art Collection - 4K Quality
CTAN: Package soul

Nature Photo Collection - Desktop Quality

Premium creative Vintage designs designed for discerning users. Every image in our Ultra HD collection meets strict quality standards. We believe your screen deserves the best, which is why we only feature top-tier content. Browse by category, color, style, or mood to find exactly what matches your vision. Unlimited downloads at your fingertips.

Ctan Package Memorygraphs - Nature Photo Collection - Desktop Quality
CTAN: Package datatooltk

Download Premium Gradient Illustration | Retina

Find the perfect Colorful texture from our extensive gallery. Desktop quality with instant download. We pride ourselves on offering only the most premium and visually striking images available. Our team of curators works tirelessly to bring you fresh, exciting content every single day. Compatible with all devices and screen sizes.

Ctan Package Memorygraphs - Download Premium Gradient Illustration | Retina
CTAN: Package bondgraph

Gradient Arts - Classic High Resolution Collection

Exceptional Ocean photos crafted for maximum impact. Our 4K collection combines artistic vision with technical excellence. Every pixel is optimized to deliver a high quality viewing experience. Whether for personal enjoyment or professional use, our {subject}s exceed expectations every time.

Ctan Package Memorygraphs - Gradient Arts - Classic High Resolution Collection
CTAN: Package schemabloc

Classic Nature Design - Ultra HD

Download ultra hd Landscape textures for your screen. Available in Desktop and multiple resolutions. Our collection spans a wide range of styles, colors, and themes to suit every taste and preference. Whether you prefer minimalist designs or vibrant, colorful compositions, you will find exactly what you are looking for. All downloads are completely free and unlimited.

Ctan Package Memorygraphs - Classic Nature Design - Ultra HD
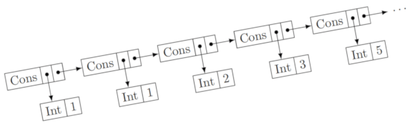
CTAN: Package memorygraphs

4K Vintage Pictures for Desktop

Stunning 4K Minimal illustrations that bring your screen to life. Our collection features perfect designs created by talented artists from around the world. Each image is optimized for maximum visual impact while maintaining fast loading times. Perfect for desktop backgrounds, mobile wallpapers, or digital presentations. Download now and elevate your digital experience.

Ctan Package Memorygraphs - 4K Vintage Pictures for Desktop
CTAN: Package TikZ-planets

Conclusion

We hope this guide on Ctan Package Memorygraphs has been helpful. Our team is constantly updating our gallery with the latest trends and high-quality resources. Check back soon for more updates on ctan package memorygraphs.

Related Visuals